920685
在特定領域或情境中,展示產品、服務或解決方案如何被實際應用以解決具體問題的實例
研究背景
1.1脂質體
脂質體是一種微型泡囊體,能將藥物包封于脂質雙分子層內,具有靶向、緩釋、降低藥物毒性等諸多優點,迄今已經在制藥、醫療、生物化學、食品科學、化妝品等多領域廣泛應用。評價脂質體質量的指標有外觀、粒徑分布和包封率等,制備方法不同,脂質體的粒徑、結構都不盡相同。脂質體在不同領域應用,粒徑是衡量脂質體內在質量的一個重要指標,探頭式超聲由于操作簡便,已成為制備脂質體主要制備方法之一,但是由于超聲條件的不同,制備的脂質體沒有很好的重現性。影響超聲效果因素包括輸入功率、作用時間、超聲頻率等,通過控制這些因素,可以控制脂質體粒徑的變化,從而得到理想大小的脂質體。
實驗方法
2.1脂質體的制備
采用逆向蒸發法制備脂質體,精密稱取一定量的卵磷脂、膽固醇、α-生育酚適量混合溶于一定量氯仿中,將脂質溶液移入250mL圓底瓶中,氮氣中45℃恒溫水浴減壓去除有機溶劑,直至形成干燥脂質薄膜,待有機溶劑完全去除,停止旋轉,從水浴中提起圓底瓶,加入一定濃度的PBS(pH6.5)溶液旋轉洗膜,在45℃水浴中水合2h即形成乳白色脂質體混懸液。
2.2脂質體溶液的超聲方法
圖1為本實驗所用超聲裝置,鈦探針直徑為1.5cm,反應池為一個開放的玻璃燒杯(直徑3cm,高度7.5cm),冰水浴超聲。實驗設置20%、30%和40%三個功率百分比,超聲處理脂質體,超聲儀探針距杯底深度分別設置為1.5和3.0cm。15ml脂質體按上述條件針式冰水浴超聲,超聲5次,每次時間為4mim(單次超聲30s,間隔30s)。超聲完成后,關閉超聲使容器冷卻,用0.22μm微孔濾膜過濾除去鈦顆粒雜質。激光粒度儀分析超聲對脂質體粒徑分布及對分散系數的影響。

實驗結果
3.1超聲功率對脂質體粒徑的影響
不同輸入功率,超聲時間為20min,脂質體超聲后平均粒徑及粒徑范圍分布見附表。結果表明,隨著超聲功率的增加,脂質體粒徑變小,粒徑分布范圍變窄,說明高功率超聲得到的脂質體粒徑更均勻。圖2為磷脂含量為10mmol/L脂質體超聲前后粒徑圖,超聲之前(圖2A)脂質體粒徑呈單峰分布,平均粒徑為300nm左右,隨著超聲時間的增加,超聲20min后能明顯觀察到粒徑變小,粒徑分布變窄,見圖2B,超聲功率為40%時,20min后獲得粒徑約為70nm左右的單峰分布的脂質體。


3.2超聲時間對脂質體粒徑的影響
如圖3所示,超聲功率分別為20%、25%、30%、35%、40%,增加超聲時間,磷脂含量為10mmol/L的脂質體粒徑變化,結果顯示,隨著超聲時間的增加,脂質體粒徑減小,直到20min時得到一個穩定的脂質體粒徑,不再發生變化。為了證實超聲時間足夠形成穩定的脂質體粒徑,增加超聲時間到25min,考察脂質體的粒徑分布。

3.3超聲時間對脂質體粒徑的影響
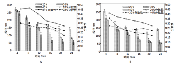
設定中高低三個超聲輸入功率20%、30%和40%,燒杯底部和探頭的距離分別為10和15mm。在不同的超聲功率和深度下,超聲時間不同,得到不同粒徑的脂質體。圖4顯示的是磷脂含量為10mmol/L的脂質體,應用超聲功率分別為20%、30%和40%,粒徑隨超聲時間的變化圖,結果表明,隨著超聲時間的延長,脂質體粒徑降低,直到超聲時間為20min,脂質體粒徑不在變化,從圖中還可以看出,隨著超聲功率的增加,脂質體粒徑降低。應用不同的超聲時間和不同的深度,獲得的脂質體粒徑也不同??紤]到連續的超聲時間和功率,深度為15mm時,獲得的脂質體粒徑更佳。15mm與10mm探針深度獲得的脂質體粒徑并沒有明顯區別,然而在10mm時,脂質體空化現象更為明顯,促進羥基自由基的形成,造成脂質體成分中磷脂的氧化。15mm深度時磷脂發生氧化的機率更低。這點在應用不飽和磷脂制備脂質體時尤其重要,因為不飽和磷脂容易氧化。從圖中可以看出,功率越高,超聲得到的脂質體分散系分散得越均勻,隨著功率的增加,粒徑和分散率降低,但超聲時間過長,超聲探頭會釋放更多鈦顆粒雜質,造成污染。因此,超聲條件為探針深度為15mm、超聲功率為40%,超聲時間為20min時,得到的脂質體粒徑和分散度最好。

討論
4.1新芝生物·全球樣品制備專家
超聲波是由一系列疏密相間的縱波構成的,并通過液體介質向四周傳播。通過研究脂質體制備過程中超聲對其影響,來達到控制脂質體性質的目的,實驗結果表明,影響脂質體粒徑分布范圍和zeta電位的三個超聲參數分別為:超聲深度、功率輸入和超聲時間。因此,為獲得的均一性較好的脂質體應該從此三方面進行探索。
新芝生物作為全球樣品制備專家,深耕超聲技術多年,產品功能齊全,超聲產品具有功率調控、時間調控和超聲深度調控等多方面功能。從用戶實際需求出發,能夠為用戶提供高效率、高性價比的產品和解決方案。

24小時服務熱線 18106650612